LAN에서 통신하는 방식
유니캐스트, 브로드캐스트, 멀티캐스트
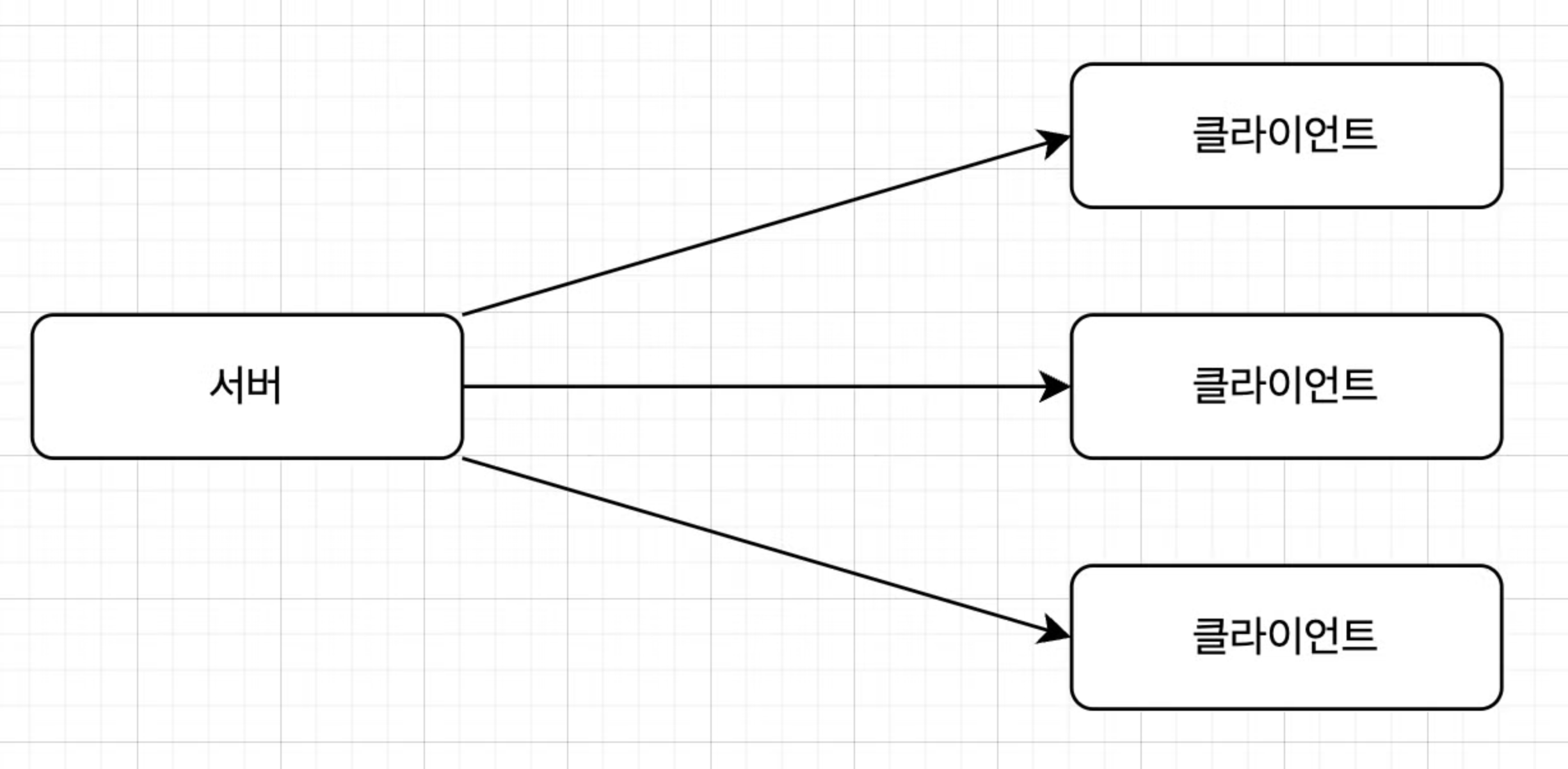
1. 유니캐스트(unicast)
서버와 클라이언트의 일대일 통신 방식

현실 세계 편지처럼 보내는 사람과 받는 사람의 주소를 적어서 보내는 것 처럼, 통신 할 때 MAC 주소를 사용한다.
유니캐스트로 데이터를 전송하면, 같은 네트워크의 모든 시스템들은 그 MAC 주소를 받아서 자신의 MAC 주소와 비교 하고 , 같지 않다면 프레임을 버린다.
반대로 MAC 주소가 동일하면 해당 프레임을 수신.
장점:
- 한개의 목적지 MAC 주소를 사용하므로 CPU 부담이 적다
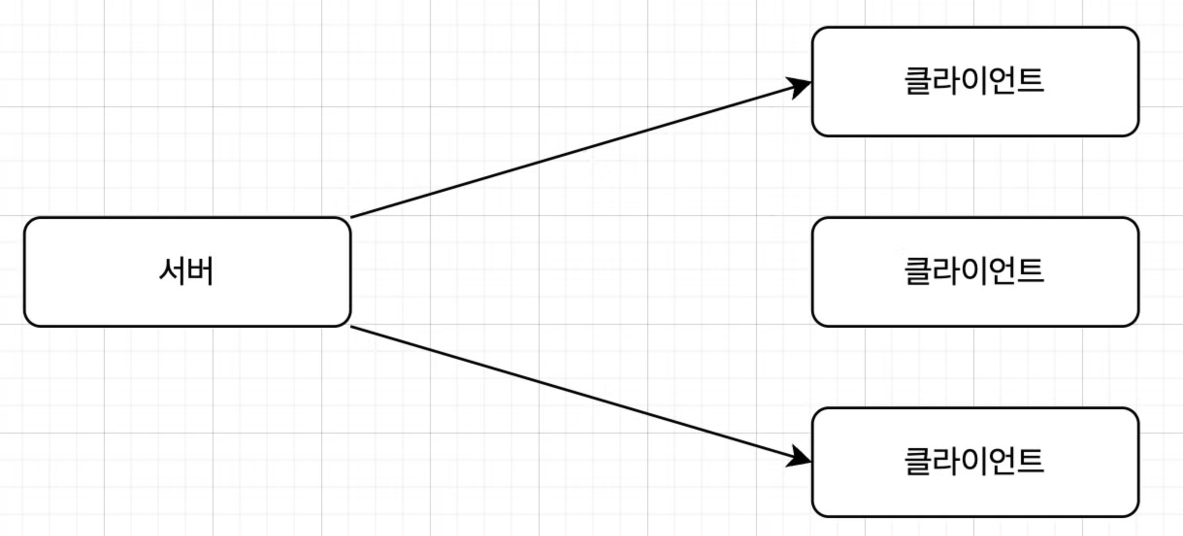
2. 브로드캐스트(broadcast)
로컬 네트워크에 연결되어 있는 모든 시스템에게 프레임을 전송 일대다 통신

브로드캐스팅을 위한 브로드캐스팅 주소는 FF-FF-FF-FF-FF-FF 로 미리 정해져 있음.
시스템은 브로드캐스트 주소를 수신하면, MAC 주소가 같지 않아도 일단 CPU로 패킷을 전송하여 처리하도록 한다.
단점:
- 모든 시스템에 패킷을 전송하므로, 트래픽이 증가하고, CPU도 패킷 처리를 위해 성능이 저하된다.
그러면 이딴 브로드캐스트를 왜 사용하나요?
- 만약 통신을 하고자 하는 클라이언트의 MAC 주소를 알지 못하는 경우
- 네트워크에 있는 모든 시스템에 전송할 경우
- 라우터끼리 정보를 교환하거나 새로운 라우터를 찾는 경우
위 처럼 일대다 통신이 시간복잡도가 유리할 때, 브로드 캐스트 방식을 채택한다.
3. 멀티캐스트(multicast)

네트워크에 연결된 시스템중 일부에게만 정보를 전송하는 방식 → 특정 그룹에 속해 있는 시스템에게만 한번에 데이터 전송 가능
→ 즉 유니캐스트와 브로드캐스트의 단점을 보완
장점:
- 특정 그룹의 컴퓨터에만 한번에 데이터를 전송하므로, 그 외 컴퓨터에는 영향을 주지 않는다
단점:
- 스위치와 라우터가 멀티캐스트를 지원하는 환경에서만 적용 가능
전송 방향에 따른 통신 방식
단방향, 양방향(반이중, 전이중)
1. 단방향 통신(simplex)
말 그대로 선로가 한 방향으로 있는 것을 의미 → 일방 통행처럼 한쪽으로만 통신이 가능하다
ex) TV, 라디오 등
2.양방향 통신(Duplex)
- 반이중 (Half-duplex) : 하나의 통신채널을 통해 양쪽 방향에서 통신이 가능하지만, 동시에 통신은 불가하다. (ex. 무전기)
- 전이중 (Full-duplex): 두개의 통신채널을 통해 양쪽 방향에서 동시에 통신이 가능하다. (ex. 전화)
→ 데이터가 많을 수록 전이중 방식을 채택하나, 비용이 증가한다는 단점이 존재한다.
직렬 전송과 병렬 전송
문제는 데이터를 한번에 전송할 것인가, 한 큐에 하나씩만 전송 할 것인가
궁극적인 차이점은 선의 개수 차이 이다
1. 직렬 전송(Serial Transmission)
통신 회선을 직렬로 나열하여 데이터를 1비트씩 쪼개서 전송한다.
즉 한번에 한개씩 데이터를 전송하므로 라인은 1개만 필요하다하고 주로 유선 LAN에 사용.
장점:
- 한개의 라인만 쓰기 때문에 통신 회선의 비용은 아주 저렴하다.
- 전송 에러가 적고, 장거리 통신에 적합
단점:
- 마찬가지로 라인이 한개이기 때문에 전송 속도가 느리다.
2. 병렬 전송(Parallel Transmission)
통신 회선을 병렬로 나열하여 각 비트가 회선을 통해 한꺼번에 전송한다. → 비트 n 개 전송을 위해 회선 n 개 사용.
보통 컴퓨터는 병렬데이터를 그대로 송수신하기 때문에, 입출력 구조가 단순하고 전송 속도가 직렬 전송보다 n배 빠름.
장점:
- 수신측과 통신측이 여러개의 통신 회선을 사용하므로 여러 비트를 한번에 송신 가능
단점:
- 거리에 비례해서 선로 비용이 많이 든다.
동기화(Synchronization)
두 장치간에 데이터를 교환하기 위해 전송되는 비트들의 타이밍(전송율, 전송시간, 간격) 이 송신측과 수신측이 같아야하는데, 이러한 송신측과 수신측의 타이밍을 맞추는 것을 동기화라고 한다.
1. 동기식 전송(Synchronous Transmission)
동기화를 제공하는 전송 방식으로써 수신측에 정확한 수신을 보장한다.
정해진 문자열을 한 묶음으로 만든다 → 한번에 전송 → 끊임 없은 0,1 로 데이터 전송 → 수신측에서 차례대로 문자열 수신 → 문자나 바이트로 분리하여 데이터 재정립
장점 :
- 수신측에서 제거할 데이터가 없어서 많은 데이터를 보낼 수 있으므로 비동기식보다 전송 속도가 빠름
- 고속 데이터 전송에 사용됨
단점:
- 수신받은 문자를 재정립하기 위한 별도의 기억장치가 필요하므로 가격이 높다.
1-1. 비트 지향 동기화 기법(Bit-Oriented)

모든 데이터 단위를 비트로 처리, 데이터 블록을 플래그를 사용하여 시작과 끝을 구분
데이터 블록의 처음과 끝에 8비트의 플래그비트(01001100) 를 삽입함으로써, 데이터의 시작과 끝을 표시
1-2. 문자 지향 동기화 기법(String-Oriented)

모든 데이터 단위를 문자 단위로 처리
SYN : 동기 문자
STX : Start-of-TeXt : 문장의 시작
ETX : End-of-TeXt : 문장의 끝
2. 비동기식 전송(Asynchronous Transmission)

한번에 전송되는 데이터의 양이 많지 않을 때, 혹은 타이밍이 그다지 중요하지 않을 때 사용
한번에 한문자씩 전송하되, 문자를 구성하는 비트열의 양 끝에 시작비트와 종료비트를 첨가하여 타이밍을 맞추는 방식
요약:
시작 비트는 항상 0으로 설정, 종료 비트는 항상 1로 지정한다
- 시작비트(0) 을 송신해서 문자의 시작을 알린다
- 시작비트 뒤에 실제 데이터 비트를 전송한다
- 필요에 따라 패리티 비트로 오류 검사
- 정지비트(1)로 문자의 끝을 파악
- 정지 상태(idle) 상태로 대기하면서 데이터 전송이 시작될때까지 대기
- 데이터가 없거나 보낼 준비가 되지 않으면 → 정지상태(idle) 상태에 들어가고, 이때 정지 비트(11111111) 를 계속 해서 전송한다.
데이터를 연속적으로 전송하지 않기 때문에, 데이터 간의 간격이 일정하지 않을 가능성 존재.
'Network' 카테고리의 다른 글
| [Network] 유선 전송 매체 - 꼬임선(Twisted Pair) (0) | 2024.09.26 |
|---|---|
| [Network] 근거리 네트워크(LAN, Local Area Network) (0) | 2024.09.25 |
| [Network] 네트워크 접속 형태, 전송 매체 (0) | 2024.09.20 |
| [Network] 네트워크의 구성 , 형태 , 접속장치 (0) | 2024.09.19 |
| [Network] 네트워크 기본 (0) | 2024.09.10 |